← Back to Home Colloidal Glass Transition

Spatial and Temporal Dynamical Heterogeneities Approaching the Binary Colloidal Glass Transition

As a dense colloidal suspension is concentrated toward the glass transition, particle motion slows dramatically and becomes spatially uneven — some regions of the sample remain mobile while neighboring regions are nearly arrested. Understanding how this dynamical heterogeneity evolves with concentration provides direct experimental insight into the microscopic origins of the glass transition. This work characterized both the spatial and temporal extent of heterogeneous dynamics in a binary colloidal mixture using confocal microscopy and the four-point susceptibility χ₄.

Experimental System

The sample consisted of a binary mixture of large and small poly(methyl methacrylate) (PMMA) colloidal spheres suspended in a glycerol/water mixture. The two particle sizes suppress crystallization, providing a model glass-forming liquid. Particle positions were tracked in two dimensions using confocal microscopy over a range of volume fractions φ from 0.42 to 0.59, spanning the approach to the glass transition.

Confocal microscope image of binary colloidal mixture
Confocal microscope image of the binary colloidal mixture. Large and small PMMA particles are visible; the scale bar represents 10 μm. The bidisperse size distribution suppresses crystallization, allowing the system to be studied deep into the supercooled regime.

Visualizing Dynamical Heterogeneity

Mobile particles — those displacing the most over a fixed time interval — are highlighted in red, while immobile particles appear blue. At lower volume fractions mobile particles are scattered throughout the sample, but as φ increases toward the glass transition, mobile particles form increasingly large, correlated clusters. This spatial clustering is the hallmark of dynamical heterogeneity and signals the emergence of cooperative, glassy dynamics.

Mobile particles at phi=0.53
φ = 0.53: Mobile particles (red) are sparse and scattered, with little spatial correlation.
Mobile particles at phi=0.59
φ = 0.59: Near the glass transition, mobile particles cluster into large cooperative regions, while most of the sample is arrested (blue).

The movies below show these mobile-particle clusters evolving in time at the two volume fractions. At the higher concentration the clusters are both larger and longer-lived, reflecting the dramatic slowdown of dynamics near the glass transition.

Movie of mobile particles at phi=0.53
Time-lapse of mobile-particle positions at φ = 0.53. Mobile particles (colored) appear and disappear rapidly with little spatial persistence.
Movie of mobile particles at phi=0.59
Time-lapse of mobile-particle positions at φ = 0.59. Large cooperative clusters persist for extended periods, a direct signature of glassy dynamics.

Four-Point Susceptibility χ₄

The four-point susceptibility χ₄ quantifies fluctuations in the mobile fraction as a function of time lag Δt and displacement threshold ΔL. A particle is labeled mobile if its displacement over Δt exceeds ΔL; χ₄ = N·Var[Q(t)] where Q(t) is the instantaneous mobile fraction and N is the particle count. The peak of χ₄ over the (Δt, ΔL) plane identifies the characteristic time scale and length scale at which cooperative motion is most pronounced.

Surface plot of chi4 vs time lag and displacement threshold
Surface plot of χ₄ as a function of time lag Δt and displacement threshold ΔL for φ = 0.52. The sharp peak identifies the optimal (Δt*, ΔL*) pair for probing dynamical heterogeneity, and the height of the peak measures the magnitude of cooperative motion.

χ₄ was computed separately for large and small particles across all volume fractions. Both species show a pronounced peak that grows and shifts to longer times as φ increases, confirming that cooperative motion becomes larger in spatial extent and slower in temporal scale near the glass transition.

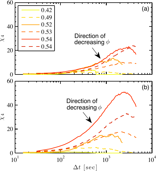
Chi4 vs time lag for big and small particles at multiple volume fractions
χ₄ versus time lag Δt for (a) large and (b) small particles at volume fractions φ = 0.42–0.54. Each curve shows a clear peak; the peak height increases and shifts to longer times as φ approaches the glass transition, indicating growing cooperative dynamics.

Growing Length and Time Scales

Extracting the peak value χ₄max and the corresponding time τmax for each φ reveals how the spatial extent and characteristic time scale of heterogeneous dynamics diverge near the glass transition. Both χ₄max and τmax increase by an order of magnitude across the concentration range studied, consistent with predictions from mode-coupling theory and the Vogel–Fulcher–Tammann (VFT) scaling used to describe supercooled liquids.

Peak chi4 and tau_max vs volume fraction
(a) Peak susceptibility χ₄max versus volume fraction φ for all particles, large particles, and small particles (inset: corresponding length scale ξ₄). (b) Time scale τmax at which χ₄ peaks, showing the dramatic slowing of cooperative dynamics as the glass transition is approached.

Related Publication


← Back to Home